Operation CHARM: Car repair manuals for everyone.

Wire Harness - Terminal Repair Kit

Article No.
01-10-12

5/28/01

WIRING - WIRE HARNESS TERMINAL REPAIR KIT
AND WIRE SPLICE PROCEDURE

FORD:
1985-1994 TEMPO
1985-1997 THUNDERBIRD
1985-2002 CROWN VICTORIA, ESCORT, MUSTANG
1986-2002 TAURUS
1988-1993 FESTIVA
1993-1997 PROBE
1994-1997 ASPIRE
1995-2000 CONTOUR
2000-2002 ESCORT ZX2, FOCUS
2002 THUNDERBIRD
1985-1990 BRONCO II
1985-1996 BRONCO
1985-1997 F-250 HD, F-350
1985-2002 ECONOLINE, F-150, RANGER
1986-1997 AEROSTAR
1988-1997 F SUPER DUTY
1991-2002 EXPLORER
1995-2002 WINDSTAR
1997-2002 EXPEDITION
1999-2002 SUPER DUTY F SERIES
2000-2002 EXCURSION
2001-2002 ESCAPE, EXPLORER SPORT TRAC, EXPLORER SPORT
1985-1999 F & B SERIES
1999-2002 F-650, F-750

LINCOLN:
1985-1992 MARK VII
1985-2002 CONTINENTAL, TOWN CAR
1993-1998 MARK VIII
2000-2002 LS
1998-2002 NAVIGATOR

MERCURY:
1985-1994 TOPAZ
1985-1997 COUGAR
1985-2002 GRAND MARQUIS
1986-2002 SABLE
1991-1999 TRACER
1995-2000 MYSTIQUE
1999-2002 COUGAR
1993-2002 VILLAGER
1997-2002 MOUNTAINEER

This article is being republished in its entirety to update the model year coverage and parts supplier information.

ISSUE

A wire harness terminal repair kit is available for repairing electrical wiring harnesses. This kit allows the dealer to repair broken or corroded terminals instead of replacing an entire wiring harness.

ACTION




















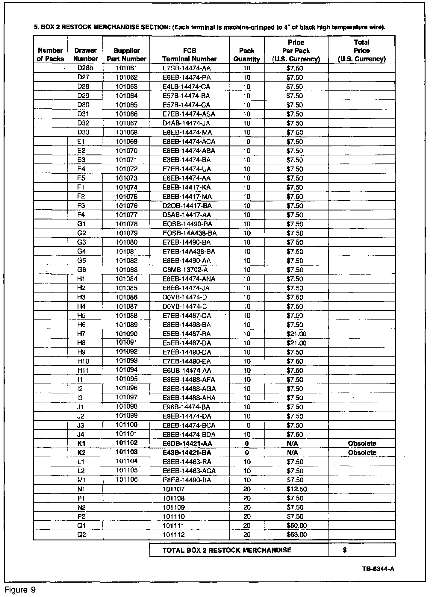
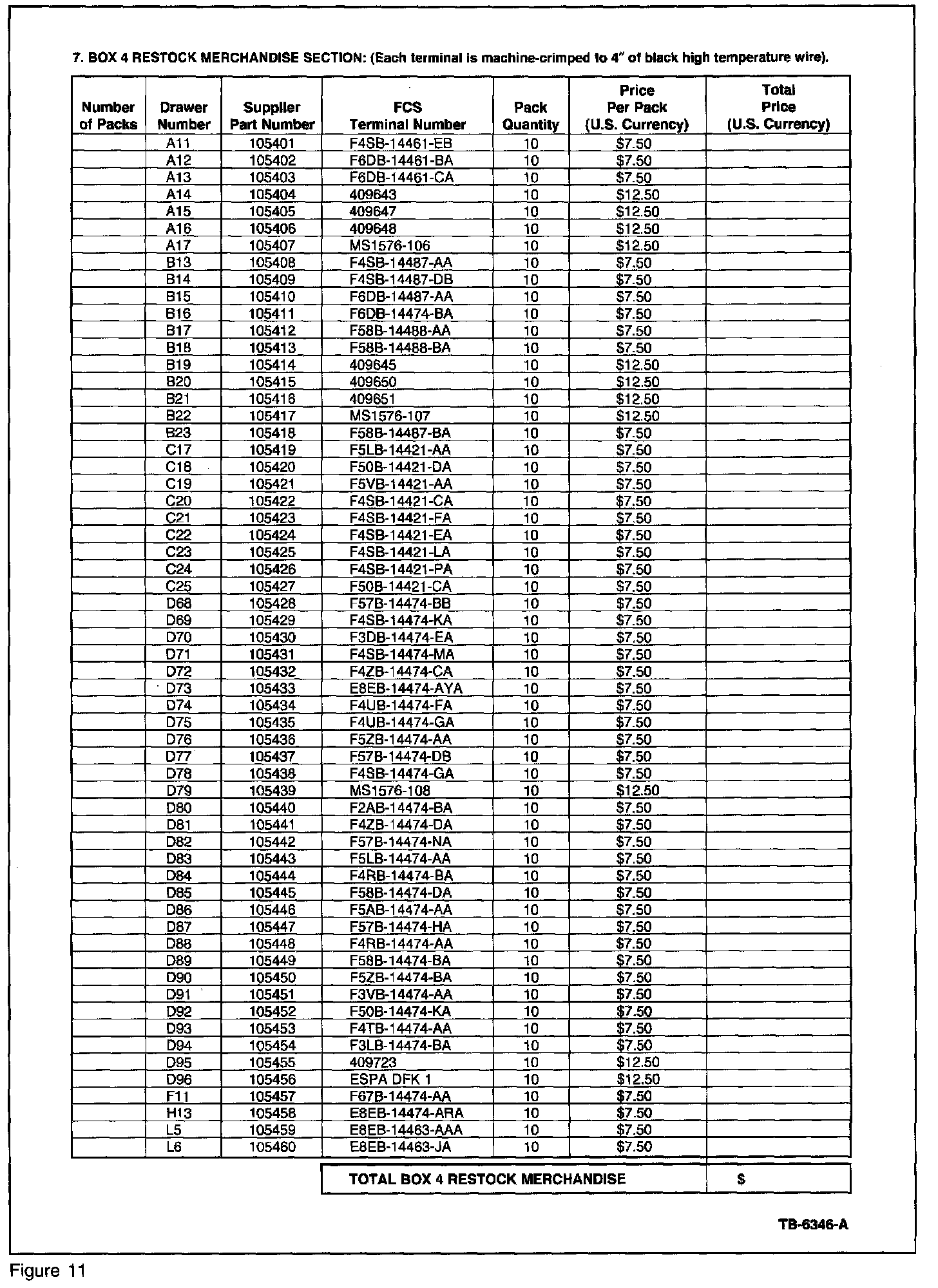
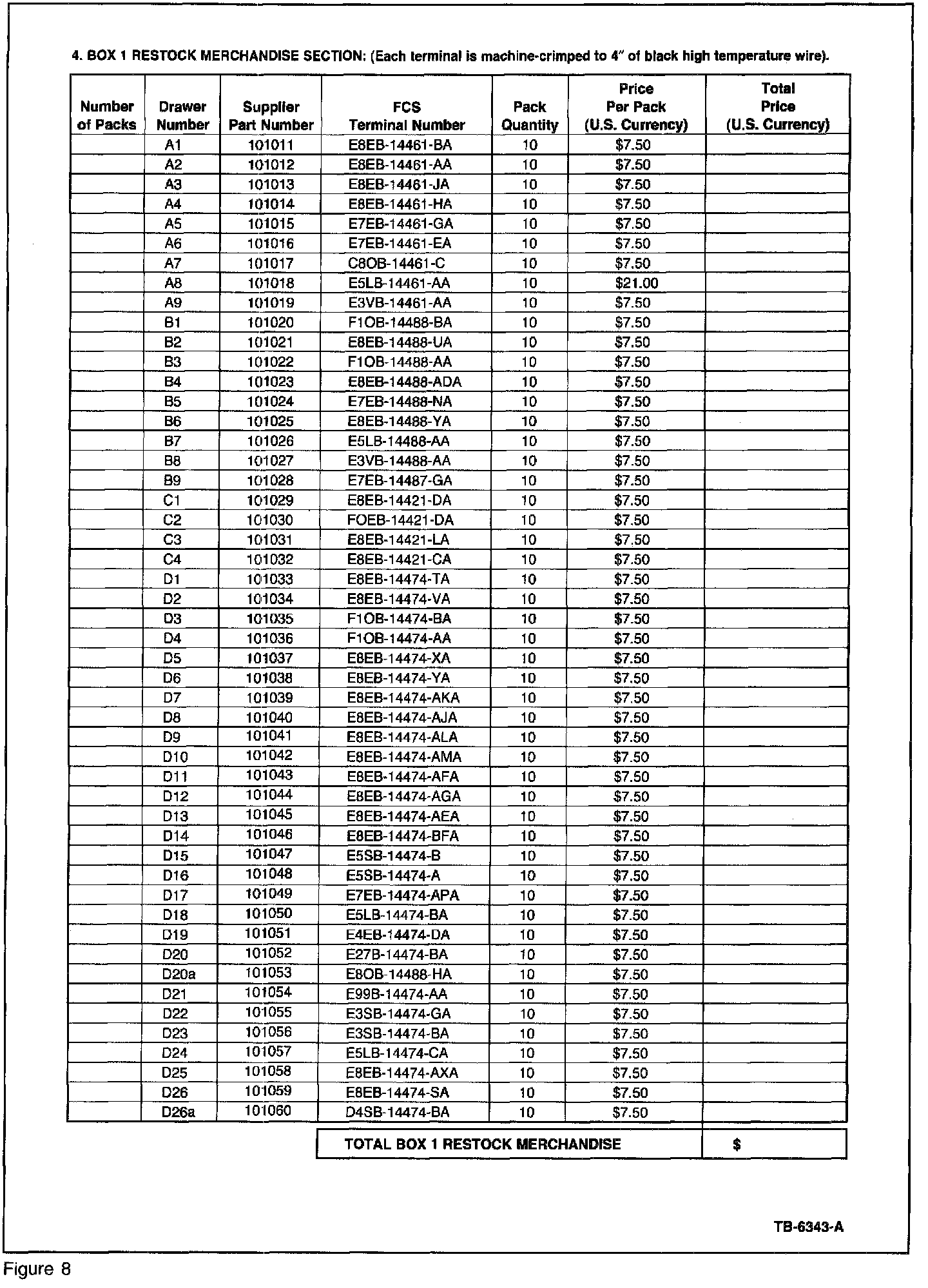
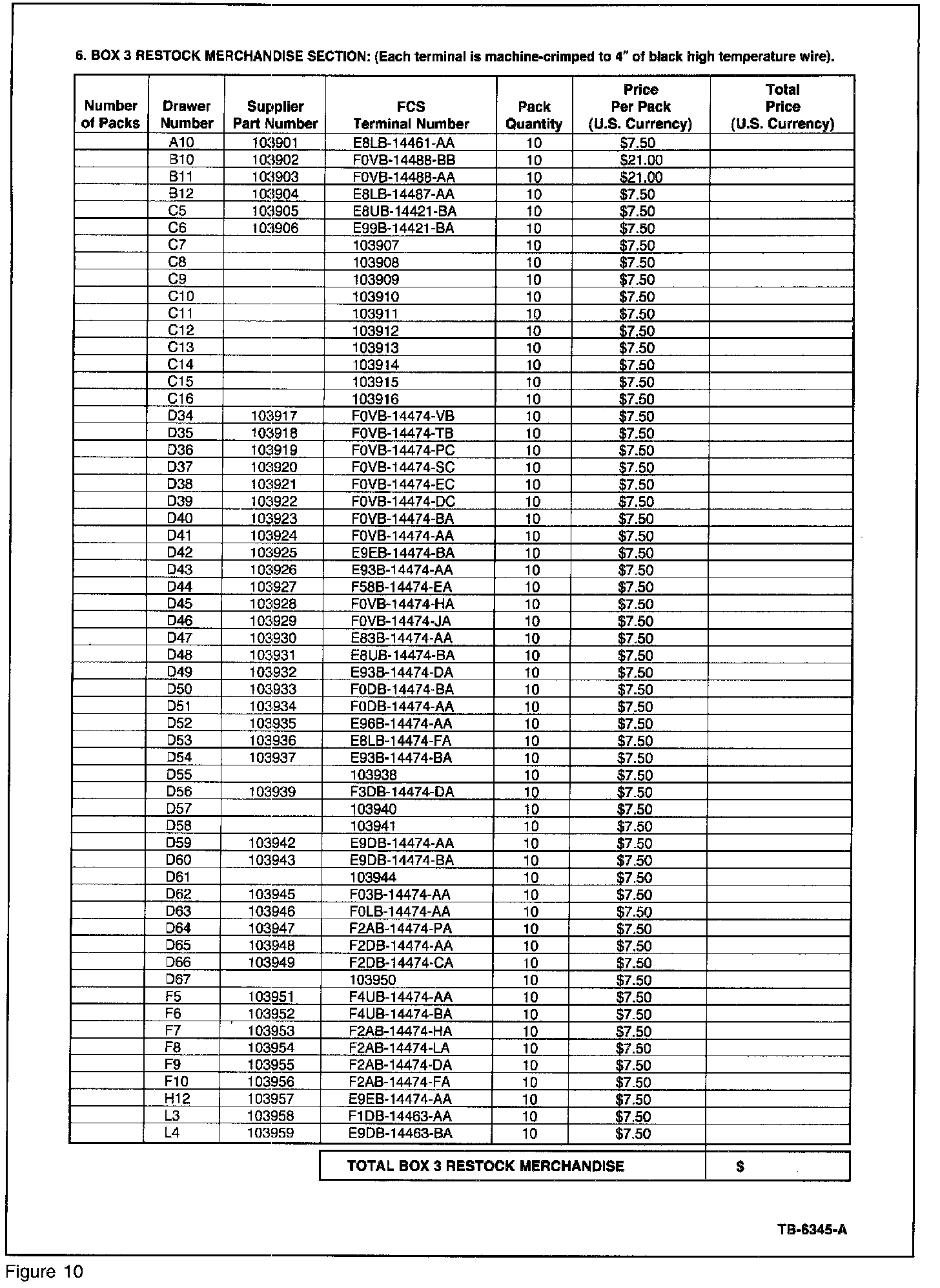
If wiring repairs are required, dealers can obtain a kit by using the included Order Form (Figures 6-11) shown. Pricing information is included for the complete boxes and restocking merchandise for the individual drawers.

^ U.S.A. - Ford Component Sales, LLC: Orders may be called in (877)682-4276. Or Fax completed order sheet to (734)523-5920.

^ Canada - Jobborn Manufacturing Limited: Orders may be called into (800)337-0823 or (905)336-6696.

^ Mexico - Fax completed order sheet to (734)523-5920.

SERVICE PROCEDURE

NOTE
AN ULTRA-TORCH (SELF-IGNITING) IS AVAILABLE THROUGH ROTUNDA (107-R0304). THE ULTRA-TORCH IS A CORDLESS SOLDERING IRON/HEAT GUN RECOMMENDED TO BE USED FOR SOLDERING, STEP 2, AND HEAT SHRINKING, STEP 5, PROCESSES.

Dual Wall Heat Shrink Tubing provided with Repair Kit Box # 3 may be used for 16, 18, or 20 gauge wire only. For wire gauges larger than 16, a Deutsch Jiffy Splice must be used (available in Repair Kit Box # 1 and # 2).

NOTE
A HIGH COMPRESSION CRIMP TOOL MUST BE USED WITH THE DEUTSCH JIFFY SPLICES. ROTUNDA DOES NOT OFFER A HIGH COMPRESSION CRIMP TOOL.

Dual Wall Heat Shrink Tubing containing hot melt wax is included with Repair Kit Box # 3 and offers a Ford-approved method for joining two (2) circuits. When properly used with a soldered circuit joint, this Ford-approved heat shrink tubing will provide a stable, low electrical resistance connection for years of service in any Ford or Lincoln-Mercury vehicle.

If an unreliable splicing method is used, the circuit joint may be unstable, resulting in variable resistance or a short circuit. Variable resistance can be the result of oxidation (corrosion) caused by air within the joint. A short circuit (signal leakage) is caused by either moisture on the circuit joint or a frayed wire coming in contact with another wire. Either situation may cause electrical Systems to malfunction.

It is important to use heat shrink tubing containing hot melt wax over a soldered circuit joint to create a waterproof and airtight connection.

The following five (5) Steps should be used when joining two (2) circuits using solder and heat shrink tubing containing hot melt wax:





1. Strip 38mm (1.5") of insulation from Wire # 1 and 19mm (0.75 ") of insulation from Wire # 2 (Figure 1). Pull wire straight from stripper. If wire is pulled at an angle, wire strands may be cut off. If more than one (1) strand is cut off during stripping, cut off end and restrip.





2. Twist and solder the wires (do not forget to install the heat shrink tubing first) (Figure 2). Use rosin core mildly activated (RMA) solder. DO NOT use acid core solder.





3. Form (bend) the circuit into a shape for sealing (Figure 3).





4. Reposition heat shrink tubing over splice (Figure 4).

NOTE
DURABILITY OF A HEAT SHRINK TUBING SPLICE IS DEPENDENT ON THE HOT MELT WAX THAT WILL APPEAR FROM BOTH ENDS OF THE TUBE. THE HOT MELT WAX FORMS AN ADHESIVE SEAL BETWEEN THE WIRE INSULATION AND THE HEAT SHRINK TUBING WHICH PREVENTS AIR AND MOISTURE FROM ENTERING THE SOLDER POINT.





5. Heat the entire length of the heat shrink tubing until the hot melt wax appears from both ends of the tubing (Figure 5).

OTHER APPLICABLE ARTICLES: NONE
SUPERSEDES: 99-22-2
WARRANTY STATUS: INFORMATION ONLY

OASIS CODES: 203000, 203200, 205000, 290000